欧易下载

欧易交易所
欧易交易所APP官网下载

欧易交易所(OKX)是最老牌的比特、莱特、以太交易所,欧易交易平台支持OTC法币交易,支持微信、支付宝和银行卡转账,安全方便快捷,欧易下载官方APP链接。

Vitalik: 反对过度使用基尼系数

基尼系数 (也被称为基尼指数) 是迄今为止最受欢迎、最广为人知的用于测量收入不平等的标准,特别是用来衡量在某国家、地区或其他社区的收入或财富不平等。它之所以受欢迎,是因为它很容易理解,它的数学定义可以很容易通过一个图表进行可视化。

然而,人们可以想象,任何试图把不平等简化为一个数字的方案都会有局限性,基尼系数亦如此。即使在它一开始用于测量各国的收入和财富不平等的语境下,它也是有局限性的,而当把基尼系数挪用到其他语境 (特别是加密货币世界) 时,其局限性则更明显了。在这篇文章里,我将谈论基尼系数的局限性,并提议使用其他替代方案。

基尼系数是由科拉多·吉尼 (Corrado Gini) 于 1912 年提出,用于测量不平等。它通常被用来测量国家的收入和财富的不平等,尽管它越来越多地被用于其他语境。

基尼系数有两个等值定义:

用曲线上的面积定义:绘制函数图,其中, f(p) 等于低收入人群赚取的总收入 (即 f(0.1) 代表收入最低的 10% 的人在总收入中的份额 )。Gini 系数是该曲线与直线 y=x 之间的面积,是整个三角形的一部分:

用平均差值定义:基尼系数是所有可能的每两人之间收入的平均差值的一半再除以平均收入。

例如,上面例子的图里,四个人的收入是 [1, 2, 4, 8],因此有 16 个可能的差值,它们是 [0, 1, 3, 7, 1, 0, 2, 6, 3, 2, 0, 4, 7, 6, 4, 0]。由此得到平均差值为 2.875,而平均收入为 3.75,因此基尼系数=2.8752/ (2*3.75) ≈0.3833。

结果是两者的数值是相等的 (证明这一点就当是读者的一个练习)!

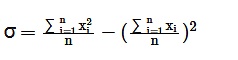
基尼系数很有吸引力,因为它是相当简单且易于理解的数据。它可能看起来不简单,但相信我,几乎所有处理任意规模人口的统计数据都那么糟糕,且往往更遭。请看看像标准差一样基础的公式:

而基尼系数是:

公链项目Aptos公布加入其生态系统的多个早期项目:7月21日消息,公链项目Aptos在推特上公布了一系列加入其生态系统的早期项目:

1. Econia:一种超并行的CLOB协议,用于提供对市场的平等全球访问。

2. hive:一款移动多签钱包;

3. Martian:一款可集成应用程序的加密钱包;

4. NjordFinance:一款借贷协议,以解锁生成收益策略的安全性和多样化;

5. Hippo Labs:正在Aptos上建立一个交易聚合器,旨在为Aptos DEX用户提供最优费率;

6. Nutrios:正在构建食品Web3基础设施,其隐含目标是启动食品的去中心化操作系统;

7. Pontem Network:是在Aptos生态系统中构建的OG项目之一,核心原语包括钱包和AMM(现已上线)。[2022/7/21 2:27:38]

这真的很简单的,我保证!

那么,它有什么问题呢?它其实有很多问题,人们已经写了很多关于基尼系数各种问题的文章了。在本文,我将重点讨论一个我认为在整个基尼系数领域讨论还不足的一个问题,但它与分析在互联网社区 (例如区块链) 里的不平等特别相关。基尼系数将两个实际上非常不同的问题——由于缺乏资源而遭受痛苦与权力集中——结合到一个不平等指数里。

为了更清楚地理解两个问题的差异,我们来看看两个反乌托邦:

反乌托邦 A:一半人口平分所有资源,其他人一点都分不到

反乌托邦 B:一个人拥有所有资源的一半,其他人平均分剩下的一半资源

以下是两个反乌托邦的洛伦兹曲线 (像我们在上文看到的一样好看的图表):

显然,这两个反乌托邦都不是适合生活的地方。但它们不适合生活的原因并不相同。反乌托邦 A等于给每个居民一个抛硬币的机会,如果落在左边,面对的是可怕的大规模饥饿;如果落在右边,则是和平等主义带来的和谐。如果你是灭霸,你可能会喜欢它!如果你不是,应该以最强的力量避免其发生。另一方面,反乌托邦 B类似于“美丽新世界”:每个人都有体面的美好生活 (起码在对每个人的资源进行快照时是这样),但这是以一个极其不民主的权力结构作为代价的,你最好希望你有一个好的统治者。如果你是柯蒂斯·雅文 (译者注:美国极右派博客作者),你可能喜欢。如果你不是,也应该以最强的力量避免其发生。

霍比特交易所将于今日16:00上线STAKE/USDT:据霍比特HBTC官方公告,霍比特HBTC将于9月3日16:00(UTC+8)上线STAKE,并开通STAKE/USDT交易对。现已开放充提。

xDai Chain是一个由MakerDAO基金会与POA Network联合推出的美元稳定币区块链,也是一个与以太坊兼容的侧链,其使用稳定币xDai作为基础代币用于交易和支付gas费用,并通过STAKE代币,借助独特的POSDAO权益证明算法来进行记账和治理。

霍比特HBTC是100%持币者共享的交易平台,独创全新的10倍PE定价回购模型及霍比特队长激励模型,并推出平台资产透明和交易数据可信机制。霍比特HBTC由火币、OKEx等56家资本共同投资,主营币币、合约、杠杆、期权等业务,平台上主流币及合约交易拥有优秀流动性和深度。[2020/9/3]

这两个问题相差甚远,值得分开分析和测量。这个差异不只是理论上的。以下这个图表展示了底层 20% 的人的收入在总收入的占比 (这是避免反乌托邦 A 的一个合适的指标) 与顶层 1% 的人的收入在总收入的占比 (这是接近反乌托邦 B 的一个合适的指标) 的对比:

来源:https://data.worldbank.org/indicator/SI.DST.FRST.20 (合并了 2015 年和 2016 年的数据) 和 http://hdr.undp.org/en/indicators/186106.

两者明显是相关的 (相关系数是  -0.62 ),但远非强相关 (统计学的权威显然认为 0.7 是“高度相关”的较低阈值,而我们得出的数值比它还低)。图表中有一个有趣的第二个维度可以分析——顶层 1% 的人赚总收入的 20% 而底层 20% 的人赚 3% 的国家与顶层 1% 的人赚总收入的 20% 与底层 20% 的人赚总收入 7% 的国家有何差异?唉,这种探索最好还是留给其他比我更有经验、更进取的数据与文化探索者吧。

为什么基尼系数在非地缘社区里使用(例如互联网或加密社区)是非常有问题的 

在区块链世界里,财富集中是一个特别重要的问题,且是一个值得测量和理解的问题。这对整个区块链世界很重要,因为很多人 (和美国参议院听证会) 正试图搞清楚加密货币在多大程度上是真正反精英主义,以及在多大程度上它只是用新精英取代旧精英。这一点在对比不同加密货币时也非常重要。

在加密货币的初始供应量中,部分代币直接分给特定内部人员是不平等的一种。请注意,以太坊的数据是稍有问题的:内部人员和基金会的占比应该是 12.3% 和 4.2%,而不是 15% 和 5%。

考虑到对这些问题的关注,很多人都尝试计算加密货币的基尼指数,这应该一点都不奇怪:

受关注的质押 EOS 代币的基尼指数(2018)

加密货币的基尼系数 (2018)

使用多个指标和粒度来测量比特币和以太坊的去中心化程度 (2021, 包括基尼系数和其他两个指标)

Nouriel Roubini 将比特币的基尼系数与朝鲜进行对比 (2018)

加密货币市场上的链上深入观察 (2021, 使用基尼系数来测量中心化程度)

而且在比这更早的时候,我们从2014年起就必须应对这篇轰动一时的文章:

这类分析除了经常犯一般方法论错误 (通常要么把收入与财富混为一谈,要么把用户与账户混为一谈) 外,它们在使用基尼系数来做这些类型的对比也有一个严重而微妙的问题。这个问题在于典型地缘社区 (例如城市、国家) 与典型互联网社区 (例如区块链) 之间的关键区别:

一个地缘社区的典型居民会在这个社区上花费他们大部分的时间和资源,因此在一个地缘社区中测量的不平等反映的是人们可获得的总资源的不平等。但在互联网社区里,测量不平等可以有两个来源:(i) 不同的参与者在总资源里获得的不平等份额,以及(ii) 参与社区的兴趣水平的参差。

拥有 15 美元法币的普通人是贫穷的,他们没有获得美好生活的能力。有价值 15 美元的加密货币的普通人是一个业余爱好者,他开钱包是为了好玩。兴趣水平参差是健康的;每个社区都有其业余爱好者和没有生活的全职硬核粉丝。因此,如果一个加密货币有非常高的基尼系数,但不平等的很大部分原因是由于兴趣水平的参差,那么这个数字指向的现实远没有那些头条意指的可怕。

加密货币,即使是那些已经高度由财阀控制的,也不会把世界的任何地方变为接近于反乌托邦 A 那样。但分配很糟糕的加密货币可能看起来像反乌托邦 B,如果使用代币投票治理来做协议决策的话,问题会变得更复杂。因此,为了找出加密社区最令人担忧的问题,我们想要一个可以反映接近于反乌托邦 B 的、更具体的指标。

替代指标:分开测量反乌托邦 A 和反乌托邦 B 的问题

测量不平等的另一个方法是预估由资源的不平等分配带来的苦难 (即“反乌托邦 A” 的问题)。首先,从某效用函数开始,它代表具有一定数量钱的价值。很多人使用 log(x) ,因为它能非常直观地表现一个人收入翻倍的近似值,且在任何水平上都是有效的:从 10,000 美元变成 20,000 美元增加的效益与从 5,000 美元变成 10,000 美元、或从 40,000 美元变成 80,000 美元是一样的。然后,得出的是与如果每个人只能得到平均收入相比,测量损失了多少效用:

第一项 (平均数的对数) 是货币得到完美分配的情况下每个人会得到的效用,因此每个人都会赚取平均收入。第二项(对数的平均值) 是今天经济体的平均效用。如果你把资源狭义地看作是用于个人消费的东西,两项的差值代表不平等带来的效用损失。还有其他方法可以定义这个公式,但它们最终都接近于等值 (例如,安东尼·阿特金森 (Anthony Atkinson) 1969 年的论文提出一个“公平分配的均衡收入水平”指标,在 U(x)=log(x) 里,它只是上述公式里的一个单调函数,而 Theil 指数L 则在数学上与上述公式完全相等)。

而要测量资源集中问题 (或“反乌托邦 B”问题),赫芬达尔 —— 赫希曼指数 (简称为 HHI) 是一个很好的起点,它已经被用来测量行业里的经济集中程度了:

对于喜欢通过可视化来学习的读者,可看下图:

HHI: 绿色面积除以总面积

它还有其他替代指标;戴尔指数 T (Theil T index) 跟它有一些相似性,但也有不同。一个更简单、更笨的替代指标是 Nakamoto 系数:最小需要加起来的参与人数要大于总人数的 50%。请注意,这个所有这些集中指标都非常关注在顶部附近发生的情况 (而且是故意的):大量拥有少数资源的业余爱好者对这个指数贡献很少,甚至没有贡献,而顶部两个参与者的行为合起来可以对这个指标产生非常大的影响。

对于加密社区,资源集中对系统来说是最大风险之一,但只有 0.00013 个代币的人并不能证明他们正在挨饿,但采用这些指数就是这样的思路。但是,即使对于国家,权力集中与因缺乏资源而受苦这两件事也应该分开来谈论和测量。

也就是说,某种程度上我们必须超越这些指标。集中问题带来的伤害不只是一个关于行动者数量大小的函数;它很大程度上还取决于行动者和他们互相合谋的能力。同样地,资源分配是依赖网络的:如果缺乏资源的人有一个非正式网络可以进入,那么缺乏正式资源也不是那么有害。但处理这些问题的难度大得多,因此在我们仍有较少数据可以利用时,我们确实还需要更简单的工具。

作者 | Vitalik Buterin

郑重声明: 本文版权归原作者所有, 转载文章仅为传播更多信息之目的, 如作者信息标记有误, 请第一时间联系我们修改或删除, 多谢。

欧易交易所

USDC以太坊经济体系大变革:从DeFi质押到燃烧机制再到POS机制

以太坊在上一轮牛市中凭借智能合约和ICO异军突起,成为当年最大的黑马,但随着以EOS为代表的公链竞争以及ICO大潮的消退,以太坊在熊市中回归于平淡。去年大热的DeFi再次把以太坊推入了高潮,近日以太坊EIP-1559升级以后,以太坊才真正在在通缩的道路上一去不复返。

比特币交易所当土豆遇上区块链 区块链能为农业做些什么

从山东菏泽曹县一路向北,开两个小时车就到了莘县。没什么网红会特意去那儿,但这个县城里每天都非常忙碌,无数辆大货车均匀的进来,装满各种蔬菜后送往全国。 莘县的蔬果年产量达到520万吨,被视为“中国蔬菜第一县”,但蔬菜出了县城,就成了失联的孩子。农人们无法知道它们在某个城市是什么行情,最后卖出去了多少,下一次该多种点什么。

NEAR“伦敦”升级 以太坊的“费改税”

据说大饼(BTC)在过去半个月创下了自2013年来最长的一次连阳。不过现在已经走坏,重新回到了4万刀的下方。以太(ETH)更是生猛,从7/21绝地大反攻以来就一直保持一个连续上攻的势头,现在已经突破2500刀的防线,一度站上2600刀的位置。 伦敦升级就要来了。推定激活区块高度12965000。

[0:31ms0-1:93ms